By Tianyu Zhao, VI Form
The Art of Summation—An Introduction to Infinite Series
1. Introduction
No matter if you like math or not, or if you are good at it or not, take a look at this for fun, and see how far you can get. If you are stuck somewhere, skip it and move on. If you think some parts are too easy and obvious for you, just bear with me. Today, I’m graduating from St. Mark’s, and this is probably my last time (maybe even the first time) catching your attention. I promise you’ll discover something deeply mesmerizing about math. Let’s start with some definitions. In mathematics, a series is the sum of a sequence of numbers. Imagine that you are given a sequence, say 1, 2, 3, 4. Then 1 + 2 + 3 + 4 = 10 is a series. Now it’s easy to extend this definition to infinite series, which is simply the sum of an infinite sequence of numbers that never ends like the example above does. An infinite series is convergent if the sum
of its terms is a finite number, and is divergent if the sum reaches infinity.
Infinite series is one of the most beautiful and delicate mathematical objects in my world.
2. Harmonic Series
If you have taken Advanced Calculus BC, you must be familiar with the
p-series:

which, by the integral test, converges if p > 1 and diverges otherwise. When p = 1, we get the famous harmonic series, the sum of the reciprocals of natural numbers (positive integers):
There’s a simple way to show this:

is greater than:

However, this series is convergent if we alternate the sign in front of each term
where ln 2 indicates the natural logarithm of 2. Since the series with positive terms diverges, while the alternating series converges, we say this series is conditionally convergent (another term from Calc BC). Notice that the sum of an infinite sequence of rational numbers can be irrational. (Rational numbers can be expressed as p/q, where p and q are two integers, while irrational numbers cannot, such as ln 2, √2, and π.)
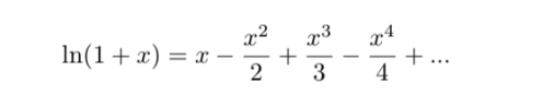
Now let me introduce another powerful tool in mathematics, also an important topic in Calc BC, the Taylor series, which represents a function as an infinite sum of terms calculated from its derivatives at a certain point. The result above in (3) can be shown using Taylor series expansion
when it takes x = 1. If you plug in x = −1, you can see that
The right side of the formula is just the negative harmonic series. Therefore, the harmonic series is equal to − ln (0) = −(−∞) = ∞, as claimed in (2). Apart from the harmonic series, there’s another famous example of divergent series, the sum of the reciprocals of prime numbers:

Prime numbers are numbers that have no positive divisors other than 1 and itself. For example, 5, 13, 29, 10357 are all prime numbers, while 10 is not prime, since it’s also divisible by 2 and 5. You can easily check that 2 is the smallest prime number, and it can be a little harder to show that there are infinitely many prime numbers.
Any integer greater than 1 is either a prime number itself, or it can be
factored into a product of prime numbers in a unique way up to the order of the factors, also referred to as the fundamental theorem of arithmetic (see how important this is). For example, 55 = 5 × 11 (same as 11 × 5), where 5 and 11 are prime factors of 55, and 36 = 2 × 2 × 3 × 3 = 22 × 3
2, where 2 and 3 are repeated prime factors of 36.
After introducing geometric series in the next section, I’ll show you some-
thing interesting that relates harmonic series to prime numbers.
3. Convergent Series
A geometric series has a constant ratio between successive terms. It converges to:
![]()
where r is the common ratio. For instance,
Now we come back to the end of the last section. I claim that the harmonic series in (2) is equal to:

The Greek letter Π (capitalized π) is the product notation, just like Σ is the
summation notation.
We show this by:

where each bracket contains the sum of the reciprocals of a prime number to positive integer powers. This makes senses if you recall the unique prime factorization I brought up, since each term of the harmonic series is the reciprocal of some natural number, which can be written as the product of some combination of prime numbers that you must be able to find in the brackets. For example, the twelfth term of the harmonic series, 1/12, can be obtained by taking 1/2^2 in the first bracket, multiplied by 1/3 in the second bracket and by 1 in all the remaining brackets, since 1/12 = 1/2^2 × 1/3 × 1 × 1 × … In a similar way, you can obtain every single term of the harmonic series.
Now observe that each bracket contains a geometric series with first term 1 and common ratio 1/p, so its value is equal to 1/1−p^−1 according to (4). For example, when p = 7,
which is what the fourth bracket in (6) equals to. We need to multiply all the brackets together, which is exactly what (5) means by the product notation.
Some of you might have already noticed this. No matter if you have studied the convergence tests in calculus or not, just by observing (6), with what I said about prime numbers in the last section, can you see why the harmonic series is divergent?
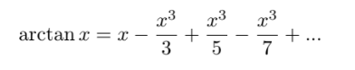
Now let’s see another alternating series, the Leibniz series:
Note that
where the third inequality sign makes sense if you consider 1/1+x^2 as the sum of an infinite series with the first term 1 and common ratio -x^2, according to (4).
This can also be shown using the Taylor series expansion

when it takes x=1.
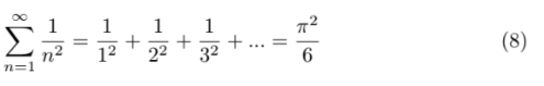
Now let’s return to the p-series in (1). We know that the series converges
when p > 1, but it can be hard to determine its value. The case when p = 2 is also called the Basel Problem, named after mathematician Leonhard Euler’s hometown, Basel, in Switzerland. In 1734, Euler first proved that:

using the Taylor series of sin x. Later, mathematicians came up with numerous different proofs. I have written up (not came up with) a complete elementary (non-calculus) proof of this problem, involving a variety of tools in mathematics, including some trigonometric identities, algebra of complex numbers, the binomial theorem, Vieta’s formula, and the concept of limit, etc. Since it’s almost as long as this article, I will not put it here.
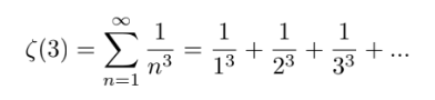
The p-series has the common form of Riemann zeta function, investigated by German mathematician Bernhard Riemann:

which contains information of profound mathematical significance. With this definition, you’ll notice that (2) essentially states that ζ(1) = ∞, and (8) essentially states that ζ(2) = π^2/6. We can determine the exact value of ζ(s) not just when s = 2, but also when s is even in general. For example,

However, the value of the function still remains unknown when s is an odd number larger than 1, which means that no one has completely understood what

is. French mathematician Roger Apery has shown that ζ(3) is irrational.
4. More Convergent Examples
Let’s see a few other examples of convergent series.
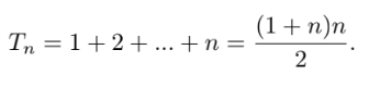
Example 1. Triangular numbers are 1, 3, 6, 10, 15, … A picture will help you understand:

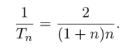
The sum of reciprocals of the triangular numbers is:

Proof: Note that Tn, the nth triangular number, is the arithmetic series

Therefore, the nth term of the series (10) is

Now, we can evaluate the sum in (10):

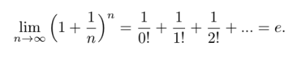
Example 2. In mathematics, when we say ”n factorial,” we mean n! = n ×
(n − 1) × (n − 2) × … × 1. For instance, 4! = 4 × 3 × 2 × 1 = 24. We also agree that 0! = 1. The sum of the reciprocals of factorials is equal to

where e is the base of the natural logarithm.
Proof. Once again, we can apply the Taylor series expansion:

by taking x=1.
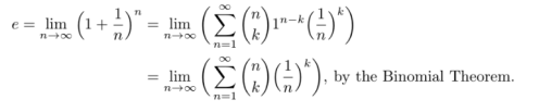
Another way to see this is by using the definition of e:

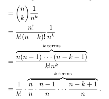
The kth term of the binomial expansion can be simplified to

As n → ∞, the terms labeled in the brackets cancel out, and kth term becomes 1/k!. Hence,
5. Questions for You
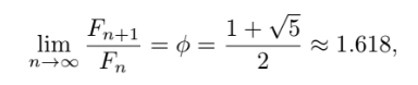
Now, whenever given an infinite sequence of numbers, you might want to
spend a minute (hopefully more than that) considering: what’s its sum? If the series diverges, then what’s the sum of the reciprocals of its terms? For example, you might have heard of the famous Fibonacci Series: 1, 1, 2, 3, 5, 8, 13, 21, …, where each term, except the first two, is the sum of the previous two terms:

I suggest that you try proving the following fact:

also known as the golden ratio in art. You can also show that φ can be written as a continued fraction (a fraction that goes on and on) like this:

Except the concept of limit, you don’t need any knowledge beyond Algebra 1 to show the results above. By discovering such nice properties like this, you can get a fresh taste of the elegance and beauty of math.
Now, the hard question is, what is the sum of the reciprocals of the Fibonacci numbers?

For those who have studied the ratio test in calculus, can you show whether this series is convergent or not?
6 Further Thoughts
At the end, let’s see some counterintuitive results, which might mess up your whole idea about divergent and convergent series. If I ask you what’s the sum of all the natural numbers,
1+2+3+4+5+ … =?
you would naturally think it as a stupid question. Apparent infinity! Well, the sum of all natural numbers is equal to the value of the Riemann zeta function in (9) evaluated at s = −1:

which is not only a finite value, but also negative! This is definitely not nonsense. You can also find its application in theoretical physics. It wouldn’t make sense to you if you don’t have a deep understanding of complex numbers (quoted from mathematical physicist, professor Carl Bender, when I met with him at Washington University in St. Louis this March).
Similarly, when you add the number 1 for an infinite number of times, you
can get
1 + 1 + 1 + 1 + … = ζ(0) = −1/2
At the very end (I know I’ve said it twice), I really want to show you some-
thing even more mind-blowing, the Riemann Rearrangement Theorem, which states that if an infinite series of real numbers is conditionally convergent, then you can rearrange its terms so that it converges to any arbitrary real number, or diverges. Without changing the value of each term, you can make them add up to any real number simply by changing their order!
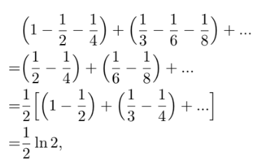
For instance, coming back to the alternating harmonic series in (3),

Now let me rewrite this series as

which is half of the usual sum! This is one simple example, and more complicated derivation can generalize this to any real number we want.
7. The End/The Beginning?
Math never ceases to amaze me. As a prospective math major, I am now ready to embark on a new journey in college. I want to express my gratitude to all the math teachers who have taught me here: Ms. Cao, Mr. Umiker, Ms. Brown, and Mr. Backon. Special thanks to Ms. Cao and Mr. Umiker for reading this through carefully and providing valuable comments and suggestions. This article is only a brief introduction to a small branch of math. I barely scratched its surface and discovered that the more I learn, the less I know. It confuses me all the time, but I tried my best to describe it to you simply because it’s so incredibly fascinating. I hope that it can spark some thought and passion about this subject, which might even become part of your life and dream in the future.
Tianyu Zhao is a VI Form boarding student from Shijiazhuang, China. He wants to become a mathematician and a martial artist representing his cultural heritage.
References
[1] Stewart Galanor. Riemann’s Rearrangement Theorem. 1987. https:
//sites.math.washington.edu/~morrow/335_16/history%20of%
20rearrangements.pdf.
[2] Kiran S. Kedlaya, Bjorn Poonen, Ravi Vakil. The William Lowell Put-
nam Mathematical Competition 1985-2000. The Mathematical Association of America, 2002.
[3] MathCaptain.com. Triangular Numbers. 2015. http://www.mathcaptain.com/number-sense/triangular-numbers.html.

