by Julie Geng, V Form
Synthesis of R-Furalaxyl Using D-Alanine Methyl Ester via Buchwald-Hartwig Cross Coupling Reaction Followed by Nucleophilic Acyl Substitution
Fundamentals of Chirality
This summer, I was enrolled in an intensive organic chemistry program at Stanford University. This program exposed me to the concept of stereochemistry.
Stereochemistry involves the study of the relative spatial arrangement of atoms that form the structure of molecules and their manipulation. Stereoisomers are isomers that differ in spatial arrangement of atoms instead of the order of atomic connectivity. One of their most interesting types of isomers is the mirror-image stereoisomers, a non-superimposable set of two molecules that are mirror images of one another. The existence of these molecules are determined by chirality. The word “chiral” was derived from the Greek word for hand, because our hands display a good example of chirality since they are non-superimposable mirror images of each other.
Now, try to line up your left hand perfectly with your right one, so that the palms are both facing in the same directions. Spend about a minute doing this. Do you see that they cannot line up exactly?
Figure 1: Chirality of Our Hands
A chiral molecule has a mirror image that cannot line up with it perfectly——the mirror images are non superimposable. The mirror images are called enantiomers. The opposite of chiral is achiral. Achiral objects are superimposable with their mirror images.
Why Do We Care About Enantiomers?
Two enantiomers have the same chemical and physical properties in achiral environment. However, they exhibit completely different properties and reactivities when they interact with a chiral biological molecule or environment. Enantiomers can be distinguished by experiments because they have a different ability to rotate a beam of plane-polarized light: to the clockwise direction as a (+)-enantiomer and to the counterclockwise direction as a (-)-enantiomer. A mixture of equal portions of the (+) and (-) enantiomers is called a racemic mixture. The R and S configuration is another method to distinguish two enantiomers.
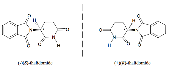
A tragic but well-known story will demonstrate the importance of chirality. In 1957, a pharmaceutical company in West Germany introduced a drug called thalidomide. Doctors prescribed it as a sedative and sleeping drug for pregnant women. There is one chiral carbon in the thalidomide molecule. The drug was made and marketed as a racemic mixture of the (+)(R)-thalidomide and (-)(S)-thalidomide.
Figure 2: Two enantiomers of thalidomide
Tragically, thalidomide was found to have serious side-effects; thousands of babies were born with missing or abnormal arms, hands, legs, or feet. It was banned by many countries in 1961. Now scientists realize that it is the (-)(S)-thalidomide that caused the severe side-effects.
The action of drugs is usually explained by the chiral environment in human body. Receptors are protein molecules in our body. Because protein molecules are chiral, they have different reaction with the two enantiomers of a chiral drug. In this case, the (+)(R)-thalidomide is an effective sedative, whereas the (-)(S)-thalidomide is a teratogen (a substance affecting the development of the foetus and causing structural or functional disability).
Now…My Project!
The thalidomide tragedy forced drug companies to reconsider enantiomers as separate molecules rather than just different forms of the same drug. The enantiomeric composition of a chiral drug is a critically important issue in drug development. The Food and Drug Administration (FDA) specifically requires that only the active enantiomer of a chiral drug is produced and marketed.
Although people have noticed the harm associated with racemic mixture of chiral drugs, little attention has been paid to other chiral chemicals such as pesticides. In a chiral environment as our biosystem, one enantiomer of the chiral pesticide usually possesses different chemical and pesticidal behavior than the other one (McConathy, Owens, 2003). Most chiral pesticides are used as racemic mixtures despite the fact that pesticidal activity is generally exhibited by the single biologically active enantiomer while the other may have toxic effects of non-target organisms. Thus, use of racemates contributes to unnecessary environmental loading (Sekhon, 2009, p.1).
In order to alleviate the burden associated with racemic chiral pesticides, I have designed a research to synthesize the active R-enantiomer of furalaxyl, a chiral fungicide.
Figure 3: Racemic Furalaxyl, a fungicide
Introduced in 1977, the chiral fungicide furalaxyl is still presently used in plant protection. This fungicide is mostly used against downy mildews, late blight, damping off, and root, stem and fruit rots in many agricultural crops (Sulimma et al, 2013, p. 1599).
This research is designed to be applied to the agricultural practice in Haiti since St. Mark’s research fellowship program aims to address challenging issues in Haiti using scientific approaches. By using fungicides with just the active isomer, farmers will likely to achieve the same degree of fungal control at a much-reduced dose of chemical. Since the (R)-enantiomer has shown to be degrading preferably under certain circumstances (Sulimma et al, 2013, p.336), using only the active enantiomer will alleviate the environmental burden and human health risks.
How to control the handedness? Chemistry!
The use of enantiopure starting material is adopted for this experiment. By conducting reactions aside from the chiral center, a single optical isomer could be synthesized and isolated. The synthesis comprises of two steps. (D)-alanine methyl ester hydrochloride is used as the enantiopure starting material, which can be purchased from Sigma-Aldrich.com. The first step of the synthesis is a palladium-catalyzed Buchwald-Hartwig carbon-nitrogen cross coupling reaction performed at room temperature. The second step is a nucleophilic acyl substitution using furoyl chloride as the electrophile.
Figure 4: Reaction Scheme
Julie Geng is a V Former from from Shanghai, China; she lives in Gaccon. She is obsessed with chemistry and enjoys the show Breaking Bad.
References:
McConathy, J., & Owens, M. J. (2003). Stereochemistry in Drug Action. Prim Care Companion J Clin Psychiatry, 5(2), 70-73.
Sekhon, B. S. (2009). Chiral pesticides. Journal of Pesticide Science, 34(1), 1-12. http://dx.doi.org/10.1584/jpestics.R08-03
Sulimma, L., Bullach, A., Kusari, S., Lamshöft, M., Zühlke, S., & Spiteller, M. (2013). Enantioselective Degradation of the Chiral Fungicides Metalaxyl and Furalaxyl by Brevibacillus brevis. Chirality, 25(6), 336-340. http://dx.doi.org/10.1002/chir.22158
Image Credits:
Figure 1–http://3.bp.blogspot.com/-Lwew4tEzqTk/TpIeBzlX6JI/AAAAAAAAAN8/T6IpabuZwGY/s1600/hands.jpg
Figure 2–http://www3.fed.cuhk.edu.hk/chemistry/files/chiraldrug.pdf
Figure 3–http://www.alanwood.net/pesticides/structures/furalaxyl.gif
Figure 4–http://www.organic-chemistry.org/namedreactions/Buchwa6.gif





